|
|
|
Abstract Are economic growth and social expenditure effective in decreasing poverty and income inequality in the European Union? We try to provide an answer to this question by using a Panel VAR model for the period from 2010 to 2019, using a sample of 28 European member states plus Norway and Iceland. We find that although both economic growth and social expenditure decrease poverty, economic growth is more effective at decreasing poverty than social expenditure. However, when it comes to income inequality, economic growth seems to increase it, while social expenditure seems to lower it.
Keywords: panel VAR model; poverty; income inequality; economic growth; social expenditure; European Union
JEL: C23, B55, D6, E62, I32
1 Introduction
The Euro-crisis that started in 2010 increased the need for addressing the problems of poverty and income inequality even more than before and the efforts to tackle these problems were embedded in the Europe 2020 strategy. This strategy aimed at decreasing the number of people living in poverty in Europe by 20 million before the year 2020. However, before we reached the end of the decade, the European Commission stated that this goal had not been attained and that significant efforts were still needed in the fight against poverty and income inequality (European Commission, 2022). The Europe 2020 strategy has been supplemented and eventually replaced by Agenda 2030 (Becker et al., 2020) and the fight against poverty is still ongoing. In addition, according to the European Commission, the effects of the economic recovery after the Eurozone crisis were not evenly distributed among all groups of society (European Commission, 2019). In respect to the Covid-19 pandemic crisis that followed in 2020, a study (Fana et al., 2020) showed that the government-imposed restrictions intended to mitigate the spread of the virus had asymmetrical effects on different groups in society and the most affected were those who were the most vulnerable in the first place.
At the moment of writing this paper the world is facing yet another crisis due to the Russian military aggression against Ukraine. The war exacerbated the previously existing energy crisis, the already disrupted supply chains and triggered even higher inflation throughout the world. Because the poor suffer the most from these developments there is a growing need for new and innovative social packages. On the other hand, the fiscal space is shrinking as a result of the expansive fiscal policy that took place during the pandemic crisis and due to the inflationary pressure on fiscal policy because of the energy crisis. This is why we think it is important for policy makers to learn more about the dynamics of fiscal expenditure in reducing poverty and income inequality, particularly the social component of fiscal expenditure – social protection benefits. The values of the European Union (EU) rest on the foundation of the economic paradigm of the social market economy. While ensuring free-market capitalism with fair competition and a flourishing industrial economy, social market economies strive for social justice and a strong welfare state. This is the European Union’s shared vision; although the level of social expenditure is different among the member states, they all tend to spend a significant share of their budgets on social protection. That makes the EU an interesting region for this type of econometric analysis. But which decreases poverty and income inequality more – the market or the state?
Тhe trends of the indicators that measure poverty and income inequality remind us that the problem of poverty and inequality persists despite the rising social expenditure and economic growth. In our paper we have tried to analyse and compare the effectiveness of social expenditure versus economic growth on reducing poverty and income inequality. Our main hypothesis is based on the economic theory of market socialism according to which it is the market that creates poverty and income inequality while the state corrects them. Our findings show that this is partly true: economic growth seems to increase income inequality and social expenditure seems to lower it. However, regarding poverty, we were intrigued by the results that showed that economic growth seems to be more effective in reducing poverty than social expenditure.
The problems of poverty and inequality are a big challenge in times of economic crisis, pandemics or other economic disruptions tackling them is crucial to the stability of the economy, the recovery process and economic growth in the long run. In the same time, the key question arises about the constant increases in social expenditures, which in the last decade have occupied a significant part of the budgets of European economies and whose effectiveness is important in terms of both reducing poverty and inequality, and of fiscal sustainability. We use panel data for 28 EU countries plus Norway and Iceland for the period from 2010 until 2019. In this way we cover the period between the Eurozone crisis and the Covid19 pandemic crisis. Another contribution of this paper and the reason why we cover this period is because the existing literature usually covers the period up to the year 2015. It should be noted, that we used a balanced panel and the last publicly available social expenditure data were for the year 2019, and also the following year 2020 would have probably shown outlier values for the variables. The year 2020 and the following period seem to be unique from the aspect of social expenditure and as such should be analysed as a separate period. Nevertheless, conclusions drawn from the period following the start of the financial crisis in the previous decade will be important for policy makers in this decade and for tackling the crises it has unfortunately brought to us.
The used methodology is a panel VAR model analysis. According to the literature review, this methodology has not been previously used for this area of research for European countries. The methodology used the most for analysis of this problem area is the panel data model. We improve the analysis by employing panel VAR techniques because they allow us to take into account the interdependencies of the variables both with their past values and among themselves. In addition, panel data improve the simple VAR approach because despite analysing the time component it now also includes the cross-sectional component in the findings. In this way, our contribution in filling the gap in the relevant literature is twofold. The paper is unique because for the first time in this area of research we employ a panel VAR model, previously unattempted for European countries and secondly, we include the latest available data and cover a period of time that has not been covered so far. Furthermore, we analyse a unique area of research that will become increasingly important in the coming period – especially for the countries in the euro area due to the economic, energy, social and security challenges they are increasingly facing. This allows us to draw unique conclusions for this period of time in the EU and to understand the dynamics between distribution and redistribution in a specific way. It is our expectation that despite stirring up the academic debate in the field, the conclusions could eventually help policy makers in tackling the challenging times ahead of us.
The structure of this paper goes as follows: in the first part we present a thorough literature review giving the reader a quick overview of what has been done so far in the field; the second part explains the methodology; the third part presents an overview of the trends of the variables used in the model and other variables crucial for explaining the roots of the problem that is subject to our analysis; the fourth part presents the econometric analysis and its results; the fifth part presents the robustness checks and we present the concluding remarks in the last and sixth part of this paper.
2 Literature review
We have tried to thoroughly analyse the existing literature in order to systemize the used methodology in the field, to determine which period has not been covered in the literature and to familiarize ourselves with the empirical findings. Although some of the studies show that social expenditure is not efficient in decreasing poverty and income inequality (Nelson, 2013; Bayar and Sasmaz, 2018; Caminada and Goudswaard, 2009; Fonayet, Eraso and Sánchez, 2020), most of the studies seem to provide evidence of social expenditure effectiveness in respect to poverty and income inequality reduction (Dafermos and Papatheodorou, 2010; Mansi et al., 2020; Bosco and Poggi, 2019; Doina and Viorica, 2017; Sanchez and Perez-Corral, 2018). We have not found papers that employ the panel VAR model or compare the effects of social expenditure versus economic growth on poverty and income inequality reduction in the same model. The most used methodological approach in investigating the effects that social expenditure has on poverty and income inequality reduction, are panel models using OLS estimators. In addition, we found only one study that covers the period until 2018, while most studies cover the period until 2015. We provide the analysis of the relevant literature review below and have summarized the findings in the table at the end of this chapter
Dafermos and Papatheodorou ( 2010) use panel data in order to examine the way economic growth and social expenditure affect poverty and income inequality for 14 EU member states for the period from 1994 to 2007. The results of this study show that social expenditure has a significant effect in decreasing poverty and income inequality. On the other hand, Nelson ( 2013) using macro and micro poverty data for 28 EU member states for the period from 1990 to 2008, asks the question whether social expenditure helps people in the EU to reach the poverty threshold income level. This empirical analysis shows that social expenditure rarely manages to accomplish this, meaning that European redistributive mechanisms cannot be characterised as just and effective.
However, it should be noted that the amount of social expenditure is not always enough to ensure effectiveness in tackling poverty and income inequality while this ineffectiveness could also be caused by inadequate targeting of the poor (World Bank, 2003). Cyrek ( 2019) analyses the efficacy of social expenditure in decreasing poverty and income inequality for the EU member countries for the period from 2007 to 2016. The conclusion of this study is that within the crisis period the effectiveness of social expenditure declined and that different countries show different level of social expenditure effectiveness. The countries in the North use social expenditure to target poverty reduction, while the states in the South focus more on mitigating income inequality. Similar results have been previously shown in the 2007 study of Ferrera ( 2007), according to whom the southern member states are far from successfully handling poverty which to an extent is a result of complex cultural and institutional factors as well as of public policy that seems to have a high tolerance for long-term poverty and inequality.
In addition, Andrés-Sánchez, Belzunegui-Eraso and Valls-Fonayet ( 2020) analyse 28 EU member states for the period between 2011 and 2015 using deterministic and stochastic models. They also conclude that in southern EU member states the efficacy of social expenditure is low. Molina-Morales et al. ( 2014) used panel data for 11 years and 27 EU member states, coming to a conclusion that the variables economic development, economic freedom and being part of the euro zone best predict the extent of social expenditure, meaning that it is political will rather than inequality levels that is crucial for higher social expenditure levels. The social state model is also relevant when predicting the effectiveness of social expenditure – those states that have the highest levels of social expenditure also employ their social expenditure most effectively (De Bonis and Antonelli, 2018).
The literature review shows that the greatest number of studies conclude there is a negative correlation between social expenditure on one hand and poverty and income inequality on the other. Sanchez and Perez-Corral ( 2018) who use dynamic panel models aiming to analyse the effects from different categories of social expenditure concluded that for the period from 2005 to 2014, the highest social expenditure effectiveness in the developing European economies was related to both health expenditure and social protection, while in the developed European economies it was expenditure for social protection. Similar results are produced by the study of Cammeraat ( 2020) who uses OLS and 2SLS regression with data from 1990 to 2015 and analyses which types of social expenditure result in the largest reduction of poverty and income inequality. This study concludes that social protection expenditure is most effective when targeted to the most vulnerable part of the population. However, economists and policy makers should not forget about the importance of equal opportunities, especially for the children growing up in poor families; Hidalgo-Hidalgo and Iturbe-Ormaetxe ( 2018) point out that in the long run it is public expenditure for education that is the most effective for the wellbeing of the children of poor and uneducated parents. According to Leventi, Sutherland and Tasseva ( 2018) who use microsimulation models the results could be dependent on the types of poverty indicators used in the model, but they also conclude that social protection expenditure and child related benefits are the most effective in tackling poverty. A study using regression analysis for 27 EU member countries in 2015 (Doina and Viorica, 2017) comes to the conclusion that of all the types of public expenditures, it is social expenditure that is the most effective in poverty reduction, followed by public expenditure for health and education.
Some research indicates that social expenditure has negative correlation with poverty and income inequality without having an effect on economic growth and that they are most effective when they are targeted, while non-targeted social expenditure, i.e. a universal social protection program, is more effective when tackling income inequality (Cammeraat, 2020). Antonelli and De Bonis ( 2017) conduct an analysis with cross section data for the year 2013 for 22 EU member countries, using social performance indexes as proxy combining the effects that social expenditure has on health, education, unemployment, etc. and conclude that countries with low social expenditure efficacy have also low results in respect to the abovementioned index. Bosco and Poggi ( 2019) used a dynamic three-level model for 26 EU countries for the period from 2008 to 2011 and found that the risk of poverty is negatively related to the size of the structural social expenditure.
Finally, a study using multiple regression analysis and the fixed effect model for European and Western Balkan (WB) countries (Albania, North Macedonia, Montenegro, Bosnia and Serbia) for the period from 2009 to 2018 shows that economic growth does have a significant impact on reducing poverty while it is shown to have a more significant impact on the EU than in the WB (Mansi et al., 2020). Different levels of social expenditure effectiveness are also shown in the paper of Da Silva and Andrade ( 2016) who used a nonparametric panel data model for the EU-27 countries and covered the period from 2003 to 2013. This study suggests that Finland, Hungary and Luxembourg were the most efficient countries in reducing poverty via social transfers, whereas Greece, Portugal and Spain were the least efficient in the EU-27. Another interesting finding of this study is that social transfers were found to be less efficient in the crisis period (2008-2013) and “a positive relationship between poverty gains and social transfers exists for values below 27% of GDP, while above that saturation point, expenditures on social transfers describe a situation of total inefficiency”.
Although the literature mostly concludes there is a negative correlation between social expenditure and poverty and income inequality, a part of the research on the topic indicates that there is a weak link between them or no relationship at all. Such is the study of Caminada and Goudswaard ( 2009) which includes the OECD and EU-15 countries and shows that there is no statistically significant relationship between social expenditure and poverty reduction. Although they do not find a strong relationship between social expenditure and poverty, they did find a statistically significant relationship between social programs targeted at poor children and their families and poverty reduction. Nevertheless, in their 2010 study, Caminada and Goudswaard show that if pensions are treated as transfers, there is a strong relationship between levels of social spending and antipoverty effects of social transfers and taxes and that in the EU-15 countries the increase of social transfers by one percentage point results in a 0.7 percentage point reduction in poverty.
In addition, Fonayet, Eraso and Sánchez ( 2020) using data from the EU-SILC and ESSPROS databases for the period from 2007 to 2015 showed that there is a weak correlation between social expenditure and poverty and income inequality reduction which is also dependent on the social state model. However, this study also showed that in the EU-15 group there is a statistically significant relationship between the social programs targeted at poor children and their families and poverty reduction. Another study that focuses on EU member states from Central and Eastern Europe for the period from 2005 to 2014 using a causality analysis did not manage to find evidence of causality between social expenditure and poverty reduction (Bayar and Sasmaz, 2018). On the other hand, Van Lancker and Van Mechelen ( 2015) show that the social expenditure targeted at the most vulnerable citizens has a negative effect on child poverty and they indicate that the universal approach to social protection is more successful in reaching its aim. Nevertheless, Atkinson (2000) points out that those countries in Europe that have the highest social expenditure are also those that show the best results in poverty and inequality reduction, inferring that “economic and social policies are inseparable”.
The literature review suggests that most of the existing studies in this research field provide evidence of social expenditure effectiveness in respect to poverty and income inequality reduction. However, the trends of the indicators measuring poverty and income inequality remind us that the problem of poverty and inequality persists despite the rising social expenditure and economic growth, thus making the question of their effectiveness still relevant. Due to this fact, it is maybe more important for researchers to ask the question of the dynamics between the forces of market distribution and government redistribution and the extent of the effects in addition to the investigation of the existence of a significant relationship. The extent of the effectiveness of social expenditure is important because the primary aim of social policy is effective redistribution of income and correction of market imperfections such as poverty, income inequality and unemployment. Understanding the mechanism of redistribution is crucial in choosing the right approach to social policy and increasing its effectiveness in the reduction of poverty and income inequality. Table 1 summarises some contributions from the reviewed literature.
Table 1Literature review DISPLAY Table
3 Methodology
Both economic growth and the welfare state are important factors in decreasing poverty and income inequality. Although economic growth is important in moving forward the economy and all of its constituents, some form of income redistribution is crucial for building an equal society (Atkinson, 2015; Piketty, 2014; Stiglitz, 2012). The central question of our analysis is to determine to what extent social expenditure is effective in poverty and inequality reduction compared to economic growth. The literature suggests that so far, for European countries, the panel VAR model has not been used to investigate the effectiveness of social expenditure on reducing poverty and income inequality, making this paper a unique and relevant contribution to the existing strand of literature. It should be noted that we have used an external software package for the panel VAR model developed by (Abrigo and Love, 2016) for the software package STATA. The VAR methodology is often used for analysing the interactions and the effects of the economic policies and enables us to detect the effects, the interaction and the transmissions of the shocks of important economic policies by using the impulse response function. All this is done without the need to include a lot of restrictions in the model and enables the data to manifest the mutual dynamics and transmissions among the variables in the model (Petrevski, Trenovski and Tashevska, 2019). In the VAR models all variables are treated as endogenous and dependent in both a static and a dynamic sense and the panel VAR models have the same structure as the basic VAR models, although the cross-section component adds a new dimension to the model (Canova and Ciccarelli, 2013).
Because the aim of the study is on the one hand to measure the effects that social expenditure as part of public expenditure and an instrument of fiscal policy has on macroeconomic phenomena such as poverty and income inequality, but on the other hand to compare it with the effects that economic growth has on poverty and inequality reduction, we needed a model that does not impose restrictions regarding the endogeneity of the variables. In other words, the change in poverty and income inequality levels could be caused by changes in social expenditure, but at the same time public and social expenditure could also change due to changes in economic growth, poverty, income inequality, etc. Due to this fact, we needed a complex model that could include all mutual effects and dependencies between the variables and their lagged values. According to Petrevski, Trenovski and Tashevska ( 2019), the biggest advantage of this model is that it allows for a complex analysis of the phenomena without the need to build a complex structure for the whole economy. Since the panel VAR model has the same structure as the basic VAR model with addition of the cross-section effects by countries, we will base our methodology on the common VAR model:
| AXt = β0 + β1Xt-j + ut | (1) |
where Xt represents a vector dependent on its own lagged values and the structural shock of ut which are mutually independent. However, the panel VAR model is different from the basic VAR model because of the cross-section component – in this case we use data for 30 EU countries. Following Dees and Guntner (ref10084#2014), the panel VAR equation could be written in the following way:
| yi,t = vi + A1,iYt-1 + ...Aj,iYt-1 + ei,t i = 1,........,N | (2) |
where, yi,t represents a ( К х 1) vector of endogenous variables for i = 1,….., N; Yt = (Y1,t, Y2,t ... YN,t) (represents a ( N * K x 1) vector of yi,t; vi is a vector of the coefficients of the intercept; Aj,i j = 1,…., p , i = 1,…., N is a ( K x N * K) matrix of the slope coefficients; and ei,t is a ( K ⨂ 1)standard errors vector. While the common VAR models could be estimated using the OLS estimator, this estimator is biased when it comes to using the panel VAR methodology which is why the literature recommends the usage of the GMM estimator (Hsiao, 2003). As previously mentioned, in this study we use the STATA 13 packet commands developed by Abrigo and Love (2016) who use the GMM estimator for calculating the panel VAR model.
The reviewed literature suggests that the most used variables in the models which measure the effectiveness of social expenditure on reducing poverty and income inequality are the variables: Social expenditure as percentage of GDP; Social expenditure per capita; Gini coefficient; the 80/20 ratio; At risk of poverty and social exclusion rate; Number of people living with incomes below the poverty line; and GDP per capita. In our model we employ the following variables: 1) Social protection benefits per capita; 2) At risk of poverty and social exclusion rate; 3) Gini coefficient; 4) GDP per capita. At the moment of writing this paper, the data were available online in the Eurostat database and cover the period after the start of the economic crisis in Europe, starting from the year 2010 until the latest available data at the moment of writing this paper, the year 2019. Most of the literature analyses the period before the crisis or until the year 2015, making this another important contribution to the existing strand of literature. We have not used data for the year 2020 due to two reasons. One reason is that the data for social benefits per capita are made available within a two-year lag and the other variables were also not available for all the countries in the sample, when our intention was to build a balanced panel. The other reason is that the year 2020 was marked by unusual characteristics and disruptions due to the Covid-19 pandemic crisis. The earliest available data that were balanced data are for the year 2010. The countries included in the sample are the 28 EU member countries plus Norway and Iceland which are not members but belong to the European economic zone and are a good example of a Nordic social model. It should be mentioned that the United Kingdom.
4 Variables trends analysis
The data source for the sample used in the econometric analysis of this study is the Eurostat database. Having in mind the research hypothesis we have used the following variables in the model: 1) At risk of poverty and social exclusion – this indicator is chosen as the poverty variable in the model because it involves all its sub-categories such as people at risk of poverty, people who are severely deprived and people who live in households with very low work intensity, but it counts persons only once even if they are present in several sub-categories; it is also the main indicator in the Europe 2020 Strategy. The data source related to the income data, social inclusion and the standard of living within the Eurostat database is the EU-Statistics on Income and Living Conditions (EU-SILC)1 database that includes the group of indicators. The main indicator of this database is the one we used in the model – People at risk of poverty or social exclusion (% of total population / 3-year change in pp). Other indicators within the group are: People at risk of poverty after social transfers (% total population / 3-year change in pp) – The indicator measures persons with an equalised disposable income below the risk-of-poverty threshold, which is set at 60% of the national median equalised disposable income (after social transfers); Severely materially deprived people (% total population / 3 year change in pp) – Severely materially deprived persons have living conditions severely constrained by a lack of resources. They experience at least 4 out of the 9 following deprivations, items relating to the “economic strain and durables” dimension of their household; they cannot afford to: i) pay rent or utility bills, ii) keep the home adequately warm, iii) face unexpected expenses, iv) eat meat, fish or a protein equivalent every second day, v) take a week’s holiday away from home, vi) run a car, vii) have a washing machine, viii) have a color TV, or ix) own a telephone; and People living in households with very low work intensity (% of population aged 0-59 / 3 year change in pp) – People living in households with very low work intensity are people aged 0-59 living in households where the adults (aged 18-59) worked less than 20% of their total work potential during the past year. Students are excluded. 2) Gini coefficient – we chose this indicator for the income inequality variable due to its availability for the sample period and because it indicates the pre-redistribution inequality levels. It is a common indicator in the literature for measuring inequality and ensures comparable results among different papers. The Gini coefficient takes values from 0 to 100. A Gini coefficient at value zero would mean that all constituents in the economy have exactly the same level of income, while a coefficient at a value of one hundred would mean that only one constituent gets all the income in the economy. Another indicator that measures income inequality is the 80/20 ratio, which puts into a ratio the income of the poorest 20% of the income distribution and the income of the richest 20% of the income distribution. In the attempt to build a balanced panel, the ratio 80/20 has not been available for the analysed period, but if this is no longer the case in the future it could be used in further research in order to check the results of the study. 3) Social protection benefits per capita – We have used this indicator for the variable representing social expenditure because it entails all types of social benefits at once. The indicator entails the following benefits by the function of social protection: Sickness/Health care; Disability; Old age; Survivors; Family/children; Unemployment; Housing; and Social exclusion not elsewhere classified. It should be noted that the indicator we use does not include pensions, but it does include old-age related benefits. We used the per capita indicator for social protection benefits so we could eliminate the differences in country size and population numbers. The data are available online at the group of indicators ESSPROS – European System of integrated Social Protection Statistics. 2 Besides the social protection benefits, the total social expenditure includes the administration costs and other expenditure. It should be noted that when we use the term social expenditure in this paper, we refer only to the social protection benefits as they are described by this indicator. The indicator is expressed in current prices. 4) GDP per capita – The variable economic growth is introduced in the model by using data for the per capita indicator in order to eliminate the effects from the size of the economy and the population numbers and in order for it to be somewhat comparable with the Social protection benefits per capita indicator. It should be noted that this indicator represents an index, i.e. it is calculated as the percentage of EU 27 (from 2020) total per capita (based on million euro, EU 27 from 2020), in current prices.
The trends of the variables can inform the researchers on what the crucial questions are, those that need to be addressed regarding the phenomena they describe. As can be seen from graph 1.1. below, the at risk of poverty and social exclusion rate has only slightly declined in the last decade by approximately 3 percentage points and the trend line appears to be almost flat. This trend is even more intriguing when the trends of the other variables are taken into consideration. Social protection benefits per capita have been on the rise in the last decade. Graph 1.2. shows the average value of the indicator for the countries included in the sample for each year. The data show an approximately 23% increase in the average value of this indicator. The GDP per capita has been constantly increasing for the analysed period as well, while at the same time the Gini coefficient has also increased, which can be an indication of an un-inclusive growth. It is interesting to notice that the income inequality trend seems to have a cyclic pattern on a first glance, which is in line with the Kuznets curve hypothesis. Graph 1.5. and 1.6. show two other interesting poverty-related indicators. The impact of social transfers shows the reduction in percentage of the risk of the poverty rate, due to social transfers (calculated comparing at-risk-of poverty rates before social transfers with those after transfers; pensions are not considered as social transfers in these calculations). This indicator is also based on the EU-SILC database (statistics on income, social inclusion and living conditions). From graph 1.5. below it is clear that the impact of the social transfers on poverty reduction has declined in the last decade on average in the analysed countries. Another indicator presented in graph 1.6. is the number of people with an equivalised disposable income below the risk-ofpoverty threshold, which is set at 60% of the national median equivalised disposable income (after social transfers).
Graph 1EU averages of the variables used in the model and other poverty related indicators DISPLAY Graph Graph 2Average impact of social transfers for the period 2010-2019 (%) DISPLAY Graph
Graph 2 presents the average impact of social transfers for the period 2010-2019 (calculated as the average from each year’s impact). The countries where social transfers have the highest impact on reducing poverty are the following: Ireland, Norway, Iceland, Finland and Denmark. On the other hand, social transfers have the lowest impact in Greece, Romania, Italy, Bulgaria and Portugal. This graph suggests that older EU member states that are located in the North of the continent seem to have better performance of social transfers, while newer member states that are located in the South seem to have lower social expenditure effectiveness, with some exceptions. In the same time, it should be noted that the countries that have the highest impact are also the countries which have the highest social benefits per capita, while it seems that the countries with the lowest impact are the countries which have the lowest social benefits per capita.
Graph 3 shows the change in the Gini coefficient per country in the year 2019 compared to the year 2010. The highest rise in inequality can be noticed in Bulgaria, Luxembourg, Hungary, Netherlands and Sweden. It seems that the change in poverty has been even greater, with the highest increase in Estonia, Germany, Netherlands, Luxembourg and Sweden all of which are highly developed economies (graph 4).
Graph 3Change in Gini coefficient per country (2019-2010) DISPLAY Graph Graph 4Change in poverty after social transfers per country (2019-2010) DISPLAY Graph
Table 2 shows the descriptive statistics of the variables used in the econometric model and table 3 shows the correlation between the variables before their transformations. This is the first glance of the data and it is interesting to notice that there is a negative correlation between social protection benefits and poverty and income inequality. This may be the case because poor and unequal countries have lower social expenditure in general or it can be a consequence of social expenditure effectiveness. In addition, social protection benefits per capita and GDP per capita are positively correlated but we do not know if it is because richer countries have higher social expenditure in general or because social expenditure might have a positive impact on economic growth. As expected, poverty and income inequality are also positively correlated meaning that they move in the same direction. Lastly, GDP per capita is negatively correlated to both poverty and income inequality, but the reason for this could be because poor and unequal societies have lower economic growth or because richer countries have lower poverty and inequality in general.
Table 2Descriptive statistics DISPLAY Table Table 3Correlation between variables (before transformation) DISPLAY Table
The group of graphs 5 represent the scatterplots of the variables used in the model in order to get a sense of the relationship between them. From the scatterplots of the data set it seems that both GDP and social expenditure are correlated with a decrease in poverty and income inequality. However, graph 5.3. shows a very strong correlation between GDP per capita and the level of social expenditure. Is this because richer countries tend to have a strong welfare state or is it because countries with strong welfare state have better economic prospects?
Before we continue with the econometric analysis, we close this chapter with the following indication: the decade after the start of the eurozone crisis is a period of economic growth and rising social protection benefits, but it has not resulted in significant reduction of poverty and income inequality.
Graph 5Scatterplot of the variables used in the model DISPLAY Graph
5 Empirical analysis
For the purpose of measuring the effects that social expenditure and economic growth have on poverty and income inequality and to test the main hypothesis of this study by employing the panel VAR model, we used the following equation (Vidangos, 2009):
| Yit = Yit-1A1 + Yit-2A2 + ...+ Yit-p+1Ap-1 + Yit-pAp + XitB + ui + eit | (3) |
where i ∈ (1,2,…, N), t ∈ (1,2,…, Ti), and Yit = (SPEit, PVRit, INQit, GDPit) as a vector of endogenous variables for each country i and time period t, where i = 1,..., 30 for each country used in the sample and t = 2010,..., 2019 for the yearly data used in the sample covering the period after the start of the eurozone crisis and before the start of the Covid-19 pandemic crisis.
Furthermore, in the model we used the transformed variables, i.e. the first difference of the logarithm of the social protection benefits per capita (dlogSPE), the first difference of the indicator that measures the people who are at risk of poverty and social exclusion (dPVR), the first difference of the Gini coefficient (dINQ) and the first difference of the logarithm of the GDP per capita (dlogGDP). The transformation of the variables was performed because the data were not stationary at level and the variables social protection benefits per capita and the gross domestic product per capita were expressed in absolute values.
We calculate the results of this model and check the robustness of the results in the next chapter.
The ordering of variables within the model (SPE PVR INQ GDP) was chosen due to the economic logic it follows; the main hypothesis of our study is that social protection benefits should decrease the poverty level, which should decrease the income inequality and ultimately have a positive impact on economic growth. This is the case if the social protection benefits are effective. Also, when the income at the lower end of the income distribution increases it should result in income inequality decline. Ultimately, a decrease in poverty and income inequality should have a positive impact on economic growth through various economic, political and social channels (Piketty, 2014).
The VAR analysis enables us to see beyond the one-sided effect, i.e. we also analyse the effects that each variable has on all the other variables. In this way we can also identify the effects of economic growth on poverty and income inequality. That being said, we must indicate that a different order of the variables gave more or less the same results and did not affect the conclusion at all.
Before we utilised the panel VAR model, we made sure to test the stationarity of the variables used in the model. In order to do that we used the Harris-Tzavalis ( 1999) stationarity tests and the Levin, Lin and Chu test ( 2002). The variables are not stationary at level, but they become stationary at first difference which is why we used the first differences of the variables in the model.
Taking into consideration that all the variables have consistent arithmetic mean and variance throughout the analysed period, the next step was to test the data for both heteroscedasticity and autocorrelation because panel data entail both the cross section and the time component. We applied the Wooldridge ( 2002) test for autocorrelation and according to the result (Prob > F = 0.1488) we concluded that the sample has no autocorrelation.
Furthermore, we applied the Frees ( 2004) test for cross sectional dependence which is adequate for data with small T and large N, as in our case (De Hoyos and Sarafidis, 2006). According to the result (0.562) we concluded that the sample has no heteroscedasticity
Due to the fact that panel VAR models give results for the relationship between all endogenous variables and their lagged variables and the lagged variables of all other variables included in the model, we should proceed to determine the lag length of these variables. According to Andrews and Lu ( 2001), the panel VAR model is best fitted when it has the lowest values for MBIC, MAIC and MQIC. In our model, this is the case for the second time lag, which is why we used two time-lags in the model. We continue the analysis by calculating the panel VAR model, which has shown to be stable as per the results of the pVAR stability tests.
The results of the panel VAR model show three statistically significant slope coefficients in three different equations (table A1, appendix).
The first one is in the first equation where the endogenous variable is the first difference of the logarithm of the social protection benefits per capita (dlogSPE). In this equation the poverty indicator (dPVR) is statistically significant in explaining the change in social expenditure and shows a positive relationship. In the second equation where the endogenous variable is the first difference of the poverty indicator, the variable GDP per capita is statistically significant and shows a negative relationship with poverty. In the third equation where the endogenous variable is the first difference of the Gini coefficient (dINQ), the variable GDP per capita is again statistically significant and shows a negative relationship with income inequality. In the fourth and last equation, where the first difference of the logarithm of the GDP per capita (dlogGDP) is the endogenous variable, there are no statistically significant coefficients.
In addition, we calculated the Wald test for panel Granger causality and we notice that the trends of the variable GDP per capita predict the trends of both the variables PVR and INQ, i.e. the poverty indicator and the Gini coefficient measuring income inequality (table A2, appendix).
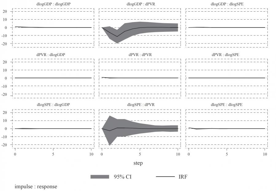
As it can be seen on graph 6, the shock in the GDP per capita results in a short-term increase in income inequality and a short-term decline in poverty. In addition, the shock in the social expenditure results in declines in both income inequality and poverty. To conclude, the results suggest that social expenditure has an impact on decreasing inequality contrary to the effect that economic growth has. In respect to poverty reduction, the opposite is true – it seems that economic growth has a stronger impact than social expenditure. It should be noted that the variance decomposition results (available upon request) showed that the impact of the independent variables in explaining the dependent variable in all equations does not seem to increase significantly over time.
Graph 6Impulse response function using variables from model 1 DISPLAY Graph
6 Robustness checks
Robustness checks are important in order to test the strength of the results obtained in the original panel VAR model presented in the previous chapter. Due to this, we also calculated two other models, which have the following ordering of the variables: 1) Model 2: SPE PVR GDP, and 2) Model 3: SPE INQ GDP,
i.e. we checked the originally obtained results by dropping the variables INQ and PVR respectively thus isolating the effects that social expenditure and economic growth have on poverty and inequality separately.
In order to test the results we got from calculating model 1 in this study, we proceed to the calculation of model 2 and model 3. Model 2 is different from the original model 1 in this paper because the variable INQ is dropped and model 3 is different from the original model 1 in this paper because the variable PVR is dropped. It should be noted that we have also performed tests for autocorrelation, heteroscedasticity and pVAR stability and these are available upon request. The results for model 2 show that GDP per capita is statistically significant in explaining the change in poverty and shows a negative relationship (table A3, appendix). These results are confirmed by the panel Granger causality test as presented in table A4 in the appendix. The impulse response function shows that the shock in GDP results in a short-term decline in poverty, which is larger than the impact that social expenditure has on the reduction of poverty. This is in line with the finding of the original model in this paper. The results of variance decomposition (available upon request) confirm that there is only a short-term effect, because the independent variables do not get stronger in explaining the dependent variable over time.
Graph 7Impulse response function using variables from model 2 DISPLAY Graph
The results for model 3 show that GDP per capita is statistically significant in explaining the change in income inequality and shows a positive relationship (table A5, appendix). These results are confirmed by the panel Granger causality test as presented in table A6 in the appendix. The impulse response function shows that the shock in GDP results in a short-term increase in income inequality, while social expenditure shocks result in a short-term decline in income inequality (graph 7). The variance decomposition results (available upon request) confirmed that the impact of the independent variables in explaining the dependent variable in all equations remains short-term.
Summarizing the results from the original model and the models 2 and 3 that we used for the robustness checks, we could say that they are complementary in explaining the dilemma of this study. They lead us to conclude that economic growth is effective in decreasing poverty but is not effective in decreasing income inequality. On the other hand, social expenditure is less effective in decreasing poverty than economic growth, but is more effective in decreasing income inequality.
Graph 8Impulse response function using variables from model 3 DISPLAY Graph
7 Conclusion
In this study, we have analysed the effectiveness of social protection benefits in decreasing poverty and income inequality versus the effectiveness of economic growth in decreasing poverty and income inequality in the EU. For this purpose, we have employed a panel VAR model, which has not been used in the relevant literature for investigating this topic so far. The countries included in the sample are the 28 EU member countries (the United Kingdom was still an EU member state at that time) plus Norway and Iceland. In addition, the period that was subject to our analysis (from 2010 until 2019) has not been covered by the existing literature.
Before we continue with summarising the conclusions of this study, it should be noted that this analysis faced two important limitations that could be potentially overcome in the future. Firstly, it would be beneficial to utilize a lengthier time series, either retrospective if older data are made available or beyond the point of 2019, when the data are available in the future. A longer time series would be also valuable when trying to section the data by different social models or different subsets of countries (e.g., new versus old member states) without losing degrees of freedom. Secondly, we would suggest using some different measures of inequality and poverty such as the 80/20 ratio or the share of the bottom 10% of the income distribution, as they were unavailable at the moment of writing this paper, but could be beneficial in strengthening the robustness checks.
The literature review helped us position our paper in the relevant strand of literature in respect to the topic of effectiveness of social expenditure in decreasing poverty and income inequality in the EU. The study utilizes a methodology for investigating this topic in European countries rarely used and covers a period in time that has not been discussed in many papers. The analysis of the variables’ trends has given us a direct insight in the data and helped us formulate the research questions. Why was there no significant decrease in poverty and income inequality in the EU in the last decade while the economy grew and social expenditure was constantly rising? Does the market or the state contribute the most to a decline in poverty and income inequality?
Analysing the effects that social expenditure and economic growth have on reducing poverty and income inequality we found the following results. Economic growth does improve the wellbeing of the most vulnerable people in the society and decreases poverty, however in the same time it also increases income inequality. That being said, can we characterise European growth as inclusive? The answer is partly positive because it seems that economic growth in Europe does help those at the bottom of the income distribution. However, at the same time it increases the gap between the poorest and the richest. The tide raises all boats but more those at the top. Having in mind the high poverty rates, these findings pose the following question for further research: is it possible to solve poverty without significantly improving income inequality?
On the other hand, the results of our study show that social expenditure has a lesser impact on poverty than economic growth. However, when it comes to income inequality, social expenditure seems to play a significant role in decreasing it, while economic growth seems to play a role in increasing it. This brings us to the question: how can social expenditure be reformed in order to generate a stronger decline in poverty and how can economic growth be made more inclusive in Europe so it does not exacerbate inequality?
Our results indicate that the distributive market mechanisms in the European Union appear to be stronger than the redistributive government mechanisms. The small decline in poverty during the analysed period was triggered by economic growth much more than by social expenditure. Economic growth also triggers income inequality, while social expenditure seems to lower it. If the European growth had been more inclusive and if social protection benefits had been more effective in decreasing poverty, we would have probably not seen the stagnation in income inequality and the high poverty rates in the decade before the pandemic crisis and the consequent economic crisis and the economy would have been more resilient to the challenges of today. Economic growth has already had a significant effect on reducing poverty but not enough for the stubborn poverty rate to decline in the long term. Notwithstanding the high levels of social expenditure, the desiderated effects still seem to be wanting. This is an indication that it might be time for rethinking the welfare state in Europe.
Going further, the focus should be on making economic growth more inclusive meaning that besides increasing economic output, countries should pay more attention to structural economic reforms, investing in human capital and technological innovation and enhancing infrastructure in lagging and poor regions. In addition, the latest crises show us that effective social protection is extremely important for the mitigation of social and economic impact. Rethinking the welfare state in a fiscally sustainable and effective way that results in significant decreases in poverty is the way to go forward. A carefully and sustainably designed social safety net would not only provide safety for the direct beneficiaries but would act as a cushion for the European economy as a whole, helping Europe navigate easily through turbulent economic periods in the future.
Appendix
Table A1pVAR results for model 1 DISPLAY Table Table A2pVAR Granger test results for model 1 DISPLAY Table Table A3pVAR results for model 2 DISPLAY Table Table A4pVAR Granger test results for model 2 DISPLAY Table Table A5pVAR results for model 3 DISPLAY Table Table A6pVAR Granger test results for model 3 DISPLAY Table
Notes
* The authors would like to thank the two anonymous reviewers for their very useful comments and suggestions.
1 More on: https://ec.europa.eu/eurostat/cache/metadata/en/tipspo_esms.htm
2 More on: https://ec.europa.eu/eurostat/cache/metadata/en/spr_esms.htm
* The authors would like to thank the two anonymous reviewers for their very useful comments and suggestions.
Disclosure statement
We disclose that we do not have any conflict of interest.
References
Abrigo, M. and Love, I., 2016. Estimation of panel vector autoregression in Stata. Stata Journal, 16(3), pp. 778-804 [ CrossRef]
Andrés-Sánchez, J., Belzunegui-Eraso, Á. and Valls-Fonayet, F., 2020. Pattern recognition in social expenditure and social expenditure performance in EU 28 countries. Acta Oeconomica, 70(1), pp. 37-61 [ CrossRef]
Andrews, D. W. K. and Lu, B., 2001. Consistent model and moment selection procedures for GMM estimation with application to dynamic panel data models. Journal of Econometrics, 101(1), pp. 123-164 [ CrossRef]
Antonelli, M. and De Bonis, V., 2017. Social SPEnding, Welfare and Redistribution: A Comparative Analysis of 22 European Countries. Modern Economy, 8(11), pp. 1291-1313 [ CrossRef]
Atkinson, A. B., 2015. Inequality: What Can Be Done? Harvard University Press [ CrossRef]
Bayar, Y. and Sasmaz, M. U., 2018. Social Expenditures and Poverty in Central and Eastern European Union Countries: A Causality Analysis. In: D. Procházka, eds. The Impact of Globalization on International Finance and Accounting, Springer Proceedings in Business and Economics. Cham: Springer, pp. 257-263 [ CrossRef]
Becker, W. [et al.], 2020. Wrapping up the Europe 2020 strategy: A multidimensional indicator analysis. Environmental and Sustainability Indicators, 8 [ CrossRef]
Bosco, B. and Poggi, A., 2019. Middle Class, Government Effectiveness and Poverty in the EU: A Dynamic Multilevel Analysis. T he Review of Income and Wealth, 66(1), pp. 94-125 [ CrossRef]
Caminada, K. and Goudswaard, K. P., 2009. Effectiveness of Poverty Reduction in the EU: A Descriptive Analysis. Poverty & Public Policy, 1(2), pp. 1-49 [ CrossRef]
Cammeraat, E., 2020. The relationship between different social expenditure schemes and poverty, inequality and economic growth. International Social Security Review, 73(2) [ CrossRef]
Canova, F. and Ciccarelli, M., 2013. Panel Vector Autoregressive Models: A Survey. ECB Working Paper, No. 1507 [ CrossRef]
Cyrek, M., 2009. Government social SPEnding in the EU countries: efficiency in poverty and income inequality reduction. Equilibrium. Quarterly Journal of Economics and Economic Policy, 14(3), pp. 405-424 [ CrossRef]
Da Silva, N. B. and Andrade, J. S., 2016. The relationship between social transfers and poverty reduction: A nonparametric approach for the EU-27. GEMF Working Papers, No. 2016-09.
De Bonis, V. and Antonelli, M. A., 2018. Welfare State and Social SPEnding: Assessing the Effectiveness and the Efficiency of European Social Policies in 22 EU countries. Public Finance Research Papers, No. 32.
De Hoyos, R. and Sarafidis, V., 2006. Testing for Cross-sectional Dependence in Panel Data Models. T he Stata Journal, 6(4), pp. 482-496 [ CrossRef]
Dees, S. and Guntner, J., 2014. Analysing and Forecasting Price Dynamics Across Euro Area Countries and Sectors: A Panel VAR Approach. ECB Working Paper, No. 1724 [ CrossRef]
Fonayet, F. V., Eraso, A. B. and Sánchez, J. D. A., 2020. Efficiency of Social Expenditure Levels in Reducing Poverty Risk in the EU-28. Poverty and Public Policy, 12(1), pp. 43-62 [ CrossRef]
Frees, E. W., 2004. Longitudinal and Panel Data: Analysis and Applications in the Social Sciences. Cambridge: Cambridge University Press [ CrossRef]
Harris, R. D. F. and Tzavalis, E., 1999. Inference for unit roots in dynamic panels where the time dimension is fixed. Journal of Econometrics, 91, pp. 201-226 [ CrossRef]
Hidalgo-Hidalgo, M. and Iturbe-Ormaetxe, I., 2018. Long-run effects of public expenditure on poverty. The Journal of Economic Inequality, 16, pp. 1-22 [ CrossRef]
Hsiao, C., 2003. The Analysis of Panel Data. Cambridge University Press [ CrossRef]
Leventi, C., Sutherland, H. and Tasseva, I. V., 2019. Improving poverty reduction in Europe: What works best where? Journal of European Social Policy, 29(1), pp. 9-43 [ CrossRef]
Levin, A., Lin, C.-F. and Chu, C.-S. J., 2002. Unit root tests in panel data: Asymptotic and finite-sample properties. Journal of Econometrics, 108(1), pp. 1-24 [ CrossRef]
Mansi, E. [et al.], 2020. Poverty-A Challenge for Economic Development? Evidences from Western Balkan Countries and the European Union. Sustainability, 12 (18), 7554 [ CrossRef]
Molina-Morales, A., Amate-Fortes, I. and Guarnido-Rueda, A., 2013. Social Expenditure in the European Union: Does Inequality Matter? Journal of Economic Issues, 47(3), pp. 745-764 [ CrossRef]
Nelson, K., 2013. Social Assistance and EU Poverty Thresholds 1990–2008. Are European Welfare Systems Providing Just and Fair Protection Against Low Income? European Sociological Review, 29(2), pp. 386-401 [ CrossRef]
Petrevski, G., Trenovski, B. and Tashevska, B., 2019. The effectiveness of fiscal and monetary policies in a small open economy–the case of Macedonia. Post-Communist Economies, 31(6), pp. 805-821 [ CrossRef]
Picketty, T., 2014. Capital in the 21st Century. The Belknap Press of Harvard University Press.
Sánchez, A. and Pérez-Corral, A. L., 2018. Government Social Expenditure and Income Inequalities in the European Union. Hacienda Pública Española / Review of Public Economics, 227(4), pp. 133-156 [ CrossRef]
Stiglitz, J. E., 2012. The Price of Inequality. W.W. Norton and Company.
Van Lancker, W. and Van Mechelen, N., 2015. Universalism under siege? Exploring the association between targeting, child benefits and child poverty across 26 countries. Social Science Research, 50, pp. 50-65 [ CrossRef]
Wooldridge, J. M., 2002. Econometric Analysis of Cross Section and Panel Data. Cambridge: MIT Press.
Abrigo, M. and Love, I., 2016. Estimation of panel vector autoregression in Stata. Stata Journal, 16(3), pp. 778-804 [ CrossRef]
Andrés-Sánchez, J., Belzunegui-Eraso, Á. and Valls-Fonayet, F., 2020. Pattern recognition in social expenditure and social expenditure performance in EU 28 countries. Acta Oeconomica, 70(1), pp. 37-61 [ CrossRef]
Andrews, D. W. K. and Lu, B., 2001. Consistent model and moment selection procedures for GMM estimation with application to dynamic panel data models. Journal of Econometrics, 101(1), pp. 123-164 [ CrossRef]
Antonelli, M. and De Bonis, V., 2017. Social SPEnding, Welfare and Redistribution: A Comparative Analysis of 22 European Countries. Modern Economy, 8(11), pp. 1291-1313 [ CrossRef]
Atkinson, A. B., 2015. Inequality: What Can Be Done? Harvard University Press [ CrossRef]
Bayar, Y. and Sasmaz, M. U., 2018. Social Expenditures and Poverty in Central and Eastern European Union Countries: A Causality Analysis. In: D. Procházka, eds. The Impact of Globalization on International Finance and Accounting, Springer Proceedings in Business and Economics. Cham: Springer, pp. 257-263 [ CrossRef]
Becker, W. [et al.], 2020. Wrapping up the Europe 2020 strategy: A multidimensional indicator analysis. Environmental and Sustainability Indicators, 8 [ CrossRef]
Bosco, B. and Poggi, A., 2019. Middle Class, Government Effectiveness and Poverty in the EU: A Dynamic Multilevel Analysis. T he Review of Income and Wealth, 66(1), pp. 94-125 [ CrossRef]
Caminada, K. and Goudswaard, K. P., 2009. Effectiveness of Poverty Reduction in the EU: A Descriptive Analysis. Poverty & Public Policy, 1(2), pp. 1-49 [ CrossRef]
Cammeraat, E., 2020. The relationship between different social expenditure schemes and poverty, inequality and economic growth. International Social Security Review, 73(2) [ CrossRef]
Canova, F. and Ciccarelli, M., 2013. Panel Vector Autoregressive Models: A Survey. ECB Working Paper, No. 1507 [ CrossRef]
Cyrek, M., 2009. Government social SPEnding in the EU countries: efficiency in poverty and income inequality reduction. Equilibrium. Quarterly Journal of Economics and Economic Policy, 14(3), pp. 405-424 [ CrossRef]
Da Silva, N. B. and Andrade, J. S., 2016. The relationship between social transfers and poverty reduction: A nonparametric approach for the EU-27. GEMF Working Papers, No. 2016-09.
De Bonis, V. and Antonelli, M. A., 2018. Welfare State and Social SPEnding: Assessing the Effectiveness and the Efficiency of European Social Policies in 22 EU countries. Public Finance Research Papers, No. 32.
De Hoyos, R. and Sarafidis, V., 2006. Testing for Cross-sectional Dependence in Panel Data Models. T he Stata Journal, 6(4), pp. 482-496 [ CrossRef]
Dees, S. and Guntner, J., 2014. Analysing and Forecasting Price Dynamics Across Euro Area Countries and Sectors: A Panel VAR Approach. ECB Working Paper, No. 1724 [ CrossRef]
Fonayet, F. V., Eraso, A. B. and Sánchez, J. D. A., 2020. Efficiency of Social Expenditure Levels in Reducing Poverty Risk in the EU-28. Poverty and Public Policy, 12(1), pp. 43-62 [ CrossRef]
Frees, E. W., 2004. Longitudinal and Panel Data: Analysis and Applications in the Social Sciences. Cambridge: Cambridge University Press [ CrossRef]
Harris, R. D. F. and Tzavalis, E., 1999. Inference for unit roots in dynamic panels where the time dimension is fixed. Journal of Econometrics, 91, pp. 201-226 [ CrossRef]
Hidalgo-Hidalgo, M. and Iturbe-Ormaetxe, I., 2018. Long-run effects of public expenditure on poverty. The Journal of Economic Inequality, 16, pp. 1-22 [ CrossRef]
Hsiao, C., 2003. The Analysis of Panel Data. Cambridge University Press [ CrossRef]
Leventi, C., Sutherland, H. and Tasseva, I. V., 2019. Improving poverty reduction in Europe: What works best where? Journal of European Social Policy, 29(1), pp. 9-43 [ CrossRef]
Levin, A., Lin, C.-F. and Chu, C.-S. J., 2002. Unit root tests in panel data: Asymptotic and finite-sample properties. Journal of Econometrics, 108(1), pp. 1-24 [ CrossRef]
Mansi, E. [et al.], 2020. Poverty-A Challenge for Economic Development? Evidences from Western Balkan Countries and the European Union. Sustainability, 12 (18), 7554 [ CrossRef]
Molina-Morales, A., Amate-Fortes, I. and Guarnido-Rueda, A., 2013. Social Expenditure in the European Union: Does Inequality Matter? Journal of Economic Issues, 47(3), pp. 745-764 [ CrossRef]
Nelson, K., 2013. Social Assistance and EU Poverty Thresholds 1990–2008. Are European Welfare Systems Providing Just and Fair Protection Against Low Income? European Sociological Review, 29(2), pp. 386-401 [ CrossRef]
Petrevski, G., Trenovski, B. and Tashevska, B., 2019. The effectiveness of fiscal and monetary policies in a small open economy–the case of Macedonia. Post-Communist Economies, 31(6), pp. 805-821 [ CrossRef]
Picketty, T., 2014. Capital in the 21st Century. The Belknap Press of Harvard University Press.
Sánchez, A. and Pérez-Corral, A. L., 2018. Government Social Expenditure and Income Inequalities in the European Union. Hacienda Pública Española / Review of Public Economics, 227(4), pp. 133-156 [ CrossRef]
Stiglitz, J. E., 2012. The Price of Inequality. W.W. Norton and Company.
Van Lancker, W. and Van Mechelen, N., 2015. Universalism under siege? Exploring the association between targeting, child benefits and child poverty across 26 countries. Social Science Research, 50, pp. 50-65 [ CrossRef]
Wooldridge, J. M., 2002. Econometric Analysis of Cross Section and Panel Data. Cambridge: MIT Press.
|